Glufosinate Ammonium

team-membar

Glufosinate Ammonium

Glufosinate ammonium is a kind of inhibitors of glutamine synthesis, leading to accumulation of ammonium ions and inhibiting photosynthesis to resulting in weeds death.

Application

Glufosinate ammonium is used for killing off a variety of annual and perennial broadleaf weeds and some gramineous weeds in the field of canola, non-agricultural crops, F & V, cotton, soybeans, cereals, rice, grapefruit, grapes, corn, etc. Such as morning glories, hemp sesbania (Sesbania bispinosa), Pennsylvania smartweed (Polygonum pensylvanicum) and yellow nutsedge similar to glyphosate can be killed effectively by glufosinate products. The dose is 0.4-1.5kg/hm2. It can be mixed with Diuron, Simazine, Chipton and some other agricultural herbicides.

CADN:

Organophosphorus herbicides, non-selective contact herbicides.

Chemical Name:

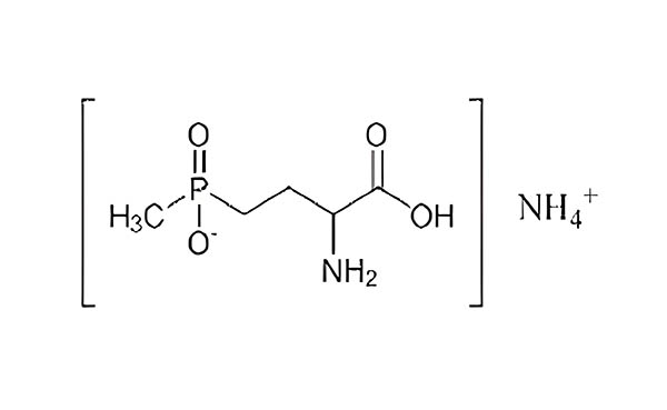
2-Amino-4-(hydroxymethylphosphinyl)butanoic acid monoammonium salt

    CAS No.:77182-82-2

    Molecular Formula:C5H15N2O4P

    Molecular Weight:198.2

Personal
English
Marketing
Business
Recognitions
team-single

CQC Certificate

Subscribe for News & Updates